亚硝胺,是强致癌物,常见于水和食品中,包括腌制和烤肉、乳品和蔬菜。每个人都会摄入一定程度的亚硝胺类物质,就有可能增加患癌症的风险。近年来,亚硝胺类杂质在多个化学药物中被检出,其中包括:N-亚硝基二甲胺(NDMA)和N-亚硝基二乙胺(NDEA),N-亚硝基-N-甲基-4-氨基丁酸(NMBA),涉及沙坦类、二甲双胍、雷尼替丁以及β-受体阻滞剂等药物,导致相关药品被下架、召回。因此化学药物中的亚硝胺类杂质逐渐引起重视和警惕。

多起药物被召回事件
2018年7月5日,欧洲药品管理局(EMA)发布公告,称某知名药企提供的缬沙坦原料药中被查出含有微量致癌的N-亚硝基二甲胺(NDMA)。随后,美国食品药品监督管理局(FDA)发布声明,证实该药厂缬沙坦原料药中含有致癌NDMA,同时宣布召回该企业生产的含有缬沙坦的药品。
2019年9月13日 FDA宣布在雷尼替丁药物中检测到含有低量的 N-二甲基亚硝胺(NDMA)杂质后,雷尼替丁在全球多个国家掀起召回风波,深陷致癌泥潭。
2020年5月28日, FDA发布公告称,在一些二甲双胍缓释片中检出可致癌物N-亚硝基二甲胺(NDMA)含量超标。
2022年10月25日,FDA发布公告称,由于检测到N-亚硝基-喹那普利超过FDA拟定的限量,相关药企已召回2个批次的喹那普利/氢氯噻嗪片剂。

发布指导性文件
2020年5月8日,我国国家药品监督管理局组织制定了《化学药物中亚硝胺类杂质研究技术指导原则(试行)》,旨在为注册申请上市以及已上市化学药品中亚硝胺类杂质的研究和控制提供指导。保证药品的安全和质量可控,实现有效的风险控制。

药物中亚硝胺类杂质产生的原因
(一)由工艺引入亚硝胺类杂质的风险
目前所知,NDMA、NDEA杂质可能通过亚硝化机理生成。即在一定条件下,胺类化合物尤其是仲胺,与亚硝酸钠(NaNO2)或其他亚硝化试剂反应产生亚硝胺类杂质。
(二)由污染引入的风险
原料药生产过程中使用了被亚硝胺类杂质污染的物料(起始物料、溶剂、催化剂等)可能带来亚硝胺类杂质的风险。使用回收的物料亦有引入亚硝胺类杂质的风险。
(三)降解产生风险
某些药物本身会降解产生亚硝胺类杂质,如雷尼替丁在高温下会产生亚硝胺类杂质。

亚硝胺类检测方法
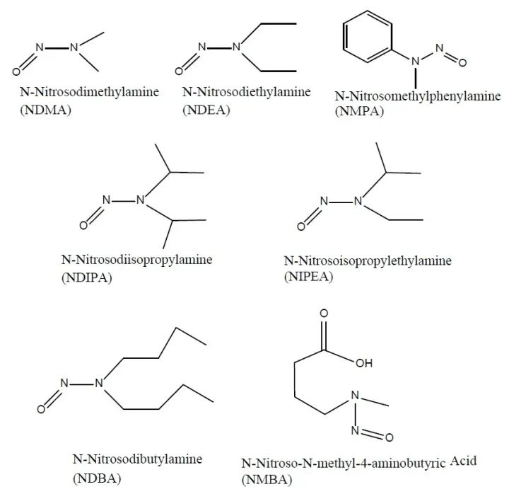
针对亚硝胺类化合物,FDA、EMA等机构先后发布了相关测试方法:总体上方法大致分为气相质谱联用与液相质谱联用,GC-MS/MS可用于测试5种亚硝胺类化合物(NDMA,NDEA,NEIPA,NDIPA,NDBA),LC-MS/MS可测试NDMA和NDEA。

热耳科技是剑桥同位素总代理(Cambridge Isotope Laboratories)。提供亚硝胺类同位素内标和标准品,为食品药品安全保驾护航。

美国 EPA 521方法标准
通过GC-MS/MS分析测定饮用水中亚硝胺含量




